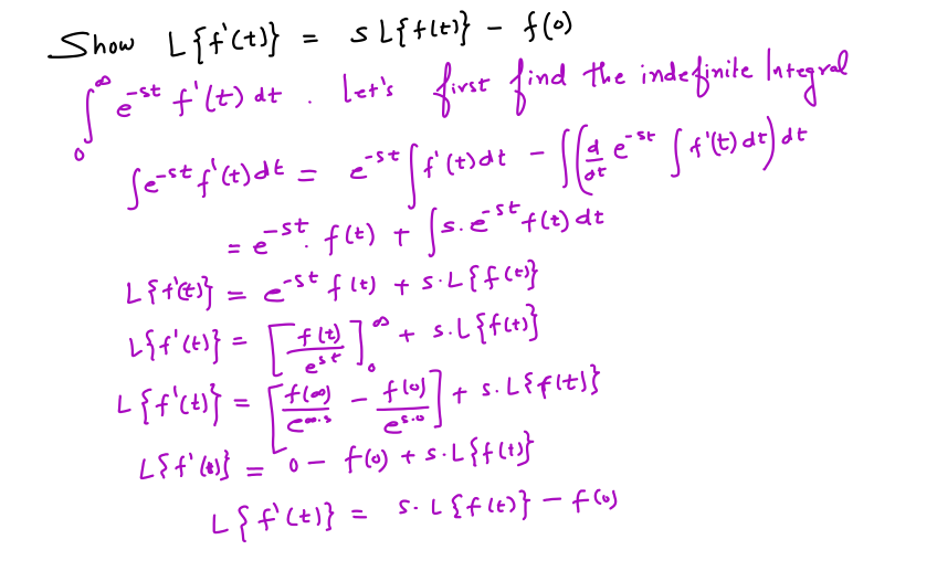
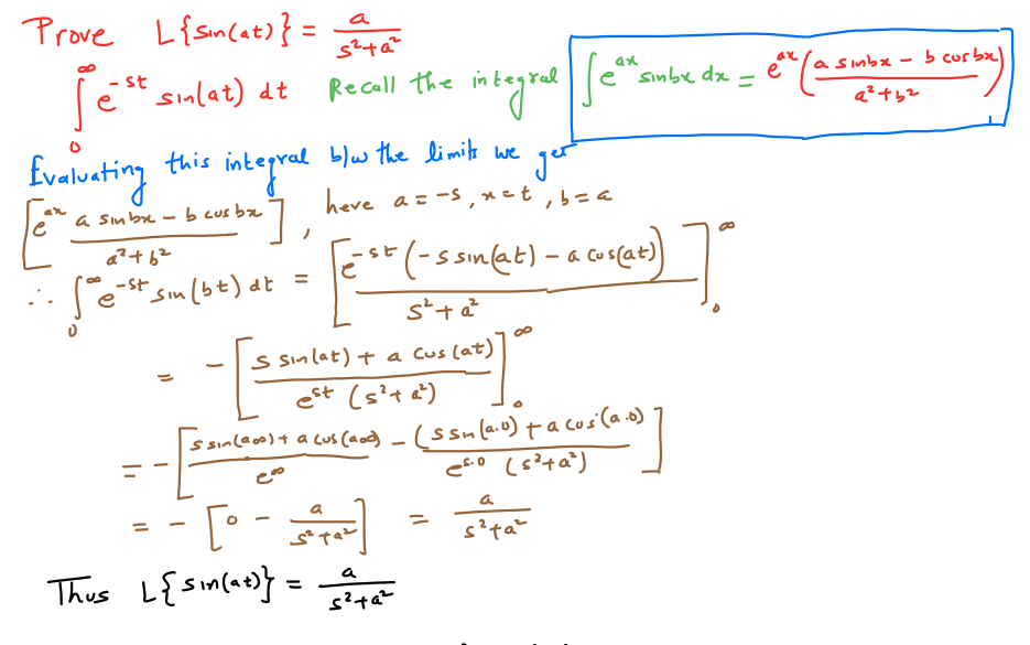
In mathematics the laplace transform is an integral transform named after its inventor pierre simon laplace l e p l s.

Laplace transformation chair.
Frequency domain and laplace transformation course control engineering winter 201819.
Pn1 4 eat 1 pa 5 teat 1 pa2.
The laplace transform converts a time domain function to s domain function by integration from zero to infinity of the time domain function multiplied by e st.
Der laplace transformation in verbindung mit anfangswertproblemen klar.
8 laplace transformation 81 basics die fourier transformation in allen ihren formen kapitel 57 ist ein mac h tiges analytisches werkzeug unter anderem in den folgenden bereichen.
Laplace transform function table propertiesand examples.
Unter der vorausset unter der vorausset zung dass die funktion f und ihre ableitungen geeigneten bedingungen gen ugen kann so sogar.
Tabelle von laplace transformationen nr.
Originalfunktion ft bildfunktion lft lp 1 1ht 1 p 2 t 1 p2 3 tn n n n.
Laplace transformation denition und rechenregeln zentrum mathematik tu munchen pd dr ing.
Die laplace transformation benannt nach pierre simon laplace ist eine einseitige integraltransformation die eine gegebene funktion f displaystyle f vom reellen zeitbereich in eine funktion f displaystyle f im komplexen spektralbereich frequenzbereich.
Callies hm3ws 200607 denition.
Free laplace transform calculator find the laplace and inverse laplace transforms of functions step by step.
Ece137a Notes Set 15 Pdf Ece137a Class Notes Ucsb Mark
Laplace Transform Of A Trapezoid Using Heaviside Function
Daily Chaos 01 01 2019 02 01 2019
Laplace Transform F T E St Dt Pdf
Page 1 Of 30 Laplace Transforms For Process Control Control
Advanced Calculus Laplace Transforms
119 Best Designer Luis Laplace Images In 2017 Interior
Inverse Laplace Transform Of A Lidet Dataset A Decay Data
Laplace Transform F T E St Dt Pdf
Meen Op Design Ever Wonder How Laplace Transform Got
Daily Chaos 01 01 2019 02 01 2019
S105 Approaches To The Problem Of The Inverse Laplace
Ece137a Notes Set 15 Pdf Ece137a Class Notes Ucsb Mark
Manuscript
10 Viscoelasticity 05 Laplace Section 10 5 10 5 Linear
Si Unit Conversion Calculation Google Search Mechanics
Pdf Coupling Of Laplace Transform And Differential
Download Schaum S Outlines Laplace Transforms Ebook Online
Ecen605lecture02 Ecen 605 Linear Systems Lecture 2 Laplace
Me10305 2016 2017 Problem Sheet 4 Laplace Transforms 1
Week 1 Laplace Transforms Mathematics 2b Eng Math248
Schaum S Outline Of Laplace Transforms Buy Schaum S Outline
Solved Use The Method Of Laplace Transform To Solve The F
Lecture 30 Laplace Transform And Initial Value Problems
Laplace Transform F T E St Dt Pdf
Uem Sol To Exerc Chap 098 Pdf Chapter 98 The Laplace
Pdf Numerical Inverse Laplace Transforms For Electrical
Laplace Transform F T E St Dt Pdf
Style Pierre Frey Magazine Page 16
Distribution Theory Convolution Fourier Transform And
Solved Laplace Problem 2 Try To Solve This Problem By Ma
Sola Conference Chair Form And Function Youtube
Manuscript
Daily Chaos 01 01 2019 02 01 2019
The Bad Truth About Laplace S Transform
Chapter 15 Ee1b Chapter 15 Intro To The Laplace Transform
Pdf Schaum S Outline Of Laplace Transforms Full Collection
Daily Chaos 01 01 2019 02 01 2019
Ece137a Notes Set 15 Laplace Transforms
Solved 10 48 Am Rizon Laplace Problem 2 Try To Solve Thi
Daily Chaos 01 01 2019 02 01 2019
Color Online Acceleration Calculated With The Laplace
Daily Chaos 01 01 2019 02 01 2019
Publications
Figure 3 From Numerical Inverse Laplace Transforms For
Manuscript
How Laplace Would Hide A Goat The New Science Of Magic
Inverse Laplace Transform Of The Following Complicated Form
Solved 4 14 Twitter Al 3amer All Media 6 17 19 4 14 Pm S
Guillermina Ramirez Sanjuan Guille Rochelle Twitter
119 Best Designer Luis Laplace Images In 2017 Interior
Find The Laplace Transform Of The Function 3cos H5t 4sin
Rampo Kitan Game Of Laplace Wikipedia
Laplace Transforms And Their Applications To Differential
Figure 6 From Numerical Inverse Laplace Transforms For
Fourier Laplace Transforme Livro Sobre Transformadas
Manuscript
Laplace And Fourier Transforms Xxv Edition Buy Laplace And
The Inverse Laplace Transform Of An Exponential Function
Laplace Transform Analytic Element Method For Transient
Inverse Laplace Transform Calculator Wolfram Centrum
Laplace And Fourier Transforms Xxv Edition Buy Laplace And
Figure 2 From Numerical Inverse Laplace Transforms For
Math 230 Big Bend Community College
Taschenbuch Der Regelungstechnik Mit Matlab Und Simulink
Highlights In The History Of The Fourier Transform Ieee Pulse
Taschenbuch Der Regelungstechnik Mit Matlab Und Simulink
Solved 3 40 Pts Use The Laplace Transform To Solve Th
Icon
Universiti Putra Malaysia Extension Of Laplace Transform To
Solved B 15 Pts Let F3 S S 2s 1 Find The Invers
Ece137a Notes Set 15 Laplace Transforms
Pdf Using Group Work As A Learning Strategy Of Laplace
Ys S Hs X S Ys Is The Laplace Transform Of The Output Xs Is
Ece137a Notes Set 15 Pdf Ece137a Class Notes Ucsb Mark
Laplace Transform Of A Trapezoid Using Heaviside Function
Untitled
Eng Tech 3ma3 Course Outline 2002 To 2006 Mcmaster
Page 1 Of 30 Laplace Transforms For Process Control Control
Variation Der Konstanten Erklarung Und Beispiel Mit Video
The Bad Truth About Laplace S Transform
Laplace And Z Transform Analysis And Design Using Matlab
Download Information Technology Docshare Tips
Solved Estion 6 10 Points Use Laplace Transform Techn
Manuscript
Home Respacare Of Louisiana Laplace La 504 465 5332
Find The Inverse Laplace Transform Of The Function F P
Untitled
Laplace Transform F T E St Dt Pdf
The Application Of The Laplace Transform For Modeling Of Gas
Jillian Knipe Andrea V Wright And Flatland Instantloveland
Laplace Transform Of A Trapezoid Using Heaviside Function
Syllabus 10 Week Yeahmathwhatever Com
Sola Conference Chair Form And Function
Solved 13 3 Solve By Using Laplace Transform 4y 13y
Untitled
Daily Chaos 01 01 2019 02 01 2019
Color Online Acceleration Calculated With The Laplace